网站首页  词典首页


请输入您要查询的字词:

 

字词 维脑路通[中]
类别 中英文字词句释义及详细解析
释义 维脑路通[中]

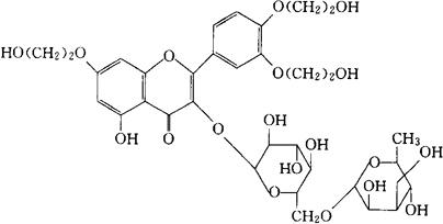
C33H42O19=742.68

CAS-7085-55-4

3′,4′,7-三(羟乙基)芦丁。

3′,4′,7-Tris(hydroxyethyl)rutin.

心血管病药。用于闭塞前综合征、血栓性静脉炎、毛细血管出血等。

羟乙基芦丁,维生素P4,三羟乙基芦丁,维诺芦通。

Venoruton,Troxerutin, Hydroxyethylrutin,Trioxyethylrutin,Posorutin,Venorutin-P4,Vitamin P4,THR.

维脑路通片(羟乙基芦丁片),维脑路通注射液(羟乙基芦丁注射液),维脑路通胶囊(羟乙基芦丁胶囊)。

INN,BAN,DCF,NFN,USAN,MI.

随便看

 

离鸟网收录3541549条中英文词条,其功能与新华字典、现代汉语词典、牛津高阶英汉词典等各类中英文词典类似,基本涵盖了全部常用中英文字词句的读音、释义及用法,是语言学习和写作的有利工具。

 

Copyright © 2004-2024 vtrois.com All Rights Reserved
更新时间:2026/5/25 11:48:42