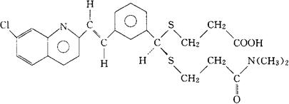
维鲁司特
C26H27ClN2O3S2=515.08 CAS-120443-16-5 [R-(E)]-3-[[[3-[2-(7-氯-2-喹啉基)乙烯基]苯基][[3-(二甲氨基)-3-氧代丙基]硫代]甲基]硫代]丙酸。 [R-(E)]-3-[[[3-[2-(7-Chloro-2-quinolinyl)-ethenyl]phenyl][[3-(dimethylamino)-3-oxopropyl[thio]methyl]thio]propanoic acid. 3-[[(αR)-间-[(E)-2-(7-氯-2-喹啉基)乙烯基]-α[[2-(二甲氨基甲酰)乙基]硫代]苄基]硫代]丙酸。 3-[[(αR)-m-[(E)-2-(7-Chloro-2-quinolyl)vinyl]-α-[[2-(dimethylcarbamoyl)ethyl]thio]benzyl]thio]propionic acid. 抗过敏药,平喘药。 Verlukast,MK-679,L-668,019. INN,USAN. 
|