网站首页  词典首页


请输入您要查询的字词:

 

字词 缝隙内的油液温升
类别 中英文字词句释义及详细解析
释义 缝隙内的油液温升

(1)两固定平行平板间的缝隙流的温升

当油液流经如表1.4-1中第一种情况的两固定平板间的压差流时,若不计金属壁的热传导,损失的压力能则全变为热能,使油液温度上升△T

△T=△p/cρ (1.4-9)

式中 △p——流经缝隙的压力降(Pa);

c——油液的比热,一般取

ρ——油液密度,约取ρ=900kg/rn3

因此当通过缝隙的压降为10MPa时,油液温度约上升6K(K为开氏度)。

(2)上板运动下板固定的平行平板问的缝隙流的温升

如表1.4-1中第二种情况纯剪切流,上板以匀速U运动时,受到粘性摩擦阻力作用,其功率损失为:μU2LB/δ,全由流量BUδ/2所传递,因此油温上升

(3)具有压差和剪切合成的缝隙流的温升

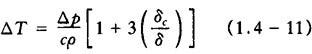
A.上板匀速移动的剪切流加压差流的缝隙合成流

如表1.4-1中的第三种及第四种情况,由运动面的摩擦而产生的功率损失为FU和因压差而产生的功率损失△pq之和为总功率损失PL,若不考虑金属壁面的热传导时,PL将全部使流过缝隙的油液温度上升

式中 △p——缝隙两端压力差;

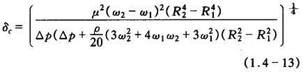
δc——总功率损失PL最小时的最佳缝隙,对于上板匀速移动剪切流加压差的合成缝隙流的最佳缝隙均为

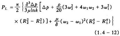
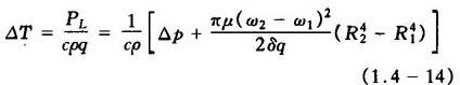
B.下盘以ω1旋转,上盘以ω2旋转的两平圆盘缝隙间的周向剪切流加压差径向流的合成螺旋流(见表1.4-6)

如表1.4-6中第二种情况,其总功率损失为

总功率损失Pl最小时的最佳缝隙为:

若不考虑金属壁的热传导,Pl将全部使流经缝隙的油液温度上升

随便看

 

离鸟网收录3541549条中英文词条,其功能与新华字典、现代汉语词典、牛津高阶英汉词典等各类中英文词典类似,基本涵盖了全部常用中英文字词句的读音、释义及用法,是语言学习和写作的有利工具。

 

Copyright © 2004-2024 vtrois.com All Rights Reserved
更新时间:2026/4/6 19:44:22