网站首页  词典首页


请输入您要查询的字词:

 

字词 缺陷数控制图(C图)
类别 中英文字词句释义及详细解析
释义 缺陷数控制图(C图)

这是当子样大小n始终固定时,用来控制如铸件表面砂眼、喷漆表面伤痕、纺织品上的疵点等缺陷数的计数值控制图。

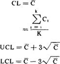
C控制图的中心线和控制界限的计算公式如下:

式中:CL表示中心线;UCL表示控制上限;LCL表示控制下限;表示子样中的平均缺陷数。

附:求C控制图控制界限用表

求C控制图控制界限用表

求上控制界限表

求下控制界限表

本表著眼于c仅取整数值。故UCL取(+)以上的最小整数值,LCL取()以下的最大整数值。对于UCL=9的栏有2.90、3.43两个数字,这表示从2.90至3.43皆取UCL=9。LCL栏内“-”,表示不考虑控制下限。LCL=0,表示c值若为0时,有异常原因存在。

随便看

 

离鸟网收录3541549条中英文词条,其功能与新华字典、现代汉语词典、牛津高阶英汉词典等各类中英文词典类似,基本涵盖了全部常用中英文字词句的读音、释义及用法,是语言学习和写作的有利工具。

 

Copyright © 2004-2024 vtrois.com All Rights Reserved
更新时间:2026/4/6 20:23:45