网坑白水溢流的纤维损失计算及实例
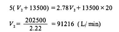
[例]某长网造纸机湿部流程方框图如下。已知纸料稀释前后的浓度分别为20g/L和5g/L,漏网率为90%(以体积计)和50%(以固形物计),稀释前的纸料流速为13500L/min。计算: ❶ 网坑白水溢流的纤维损失; ❷ 成品纸产量(水分含量为8%)。  解:根据流程得: V1=(V2+13500)×90% V1C1=(V2+13500)×5×50% 两式相除得:  由混合部位处的固体物平衡得:  故:V1=(91216+13500)×90%=94244(L/min) 网坑白水溢流固体物损失为: (94244-91216)×2.78=8418(g/min) ❷ 进入干燥部固体物量为: (13500+V2)×5×50%=(13500+91216)×5×50% =261790(g/min) 因成纸水分为8%(绝干纤维基准) 故纸机成品纸产量为:  |