网站首页  词典首页


请输入您要查询的字词:

 

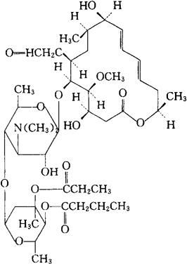
字词 罗他霉素
类别 中英文字词句释义及详细解析
释义 罗他霉素

C42H69NO15=828.01

CAS-74014-51-0

[(4R,5S,6S,7R,9R,i0,11E,13E,16R)-7-(甲酰甲基)-4,10-二羟-5-甲氧-9,16-二甲基-2-氧代氧杂环十六碳-11,13-二烯-6-基]-3,6-二脱氧-4-O-(二脱氧-3-C-甲基-α-L-核-吡喃己糖基)-3-(二甲氨基)-β-D吡喃葡糖苷4′-丁酸盐-3′-丙酸盐。

[(4R,5S,6S,7R,9R,10,11E,13E,16R)-7-(Formylmethyl)-4,10-dihydroxy-5-methoxy-9,16-dimethyl-2-oxooxacyclohexadeca-11,13-dien-6-yl]-3,6-dideoxy-4-O-(dideoxy-3-C-methyl-α-L-ribohexopyranosyl)-3-(dimethylamino)-β-D-glucopyranoside 4′-butyrate-3′-propionate.

抗生素类药。

Rokitamycin,Antibiotic TMS 19Q,4B-Butanoate3B-Propionate,LeucomycinV,Prokitamycin,Ricamycin,TMS 19Q.

INN,USAN,MI.

随便看

 

离鸟网收录3541549条中英文词条,其功能与新华字典、现代汉语词典、牛津高阶英汉词典等各类中英文词典类似,基本涵盖了全部常用中英文字词句的读音、释义及用法,是语言学习和写作的有利工具。

 

Copyright © 2004-2024 vtrois.com All Rights Reserved
更新时间:2026/4/8 4:25:59