网站首页  词典首页


请输入您要查询的字词:

 

字词 罗哌卡因
类别 中英文字词句释义及详细解析
释义 罗哌卡因

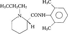
C17H26N2O=274.40

CAS-84057-95-4

(-)1-丙基-2′,6′-哌可酰二甲苯胺。

(-)1-Propyl-2′,6′-pipecoloxylidide.

N-(2,6-二甲苯基)-1-丙基-2-哌啶甲酰胺。

N-(2,6-Dimethylphenyl)-1-propyl-2-piperidinecarboxamide.

局部麻醉药。

Ropivacaine.

INN,USAN.

随便看

 

离鸟网收录3541549条中英文词条,其功能与新华字典、现代汉语词典、牛津高阶英汉词典等各类中英文词典类似,基本涵盖了全部常用中英文字词句的读音、释义及用法,是语言学习和写作的有利工具。

 

Copyright © 2004-2024 vtrois.com All Rights Reserved
更新时间:2026/4/8 23:36:15