网站首页  词典首页


请输入您要查询的字词:

 

字词 罗坦西林
类别 中英文字词句释义及详细解析
释义 罗坦西林

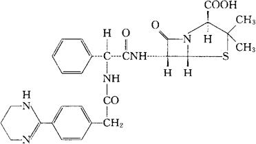
C28H31N5O5S=549.64

CAS-55530-41-1

(2S,5R,6R)-3,3-二甲基-7-氧代-6-[(R)-2-苯基-2-[2-[对-(1,4,5,6-四氢-2-嘧啶基)苯基]乙酰胺基]乙酰胺基]-4-硫杂1-氮杂双环[3.2.0]庚烷-2-羧酸。

(2S,5R,6R)-3,3-Dimethyl-7-oxo-6-[(R)-2-phenyl2-[2-[p-(1,4,5,6-tetrahydro-2-pyrimidinyl)phenylacetamido]acetamido]-4-thia-1-azabicyclo[3.2.0]heptane-2-carboxylic acid.

6-[2-苯基-2-[2-[对-(1,4,5,6-四氢-2-嘧啶基)苯基]乙酰胺基]乙酰胺基]青霉烷酸。

6-[2-Phenyl-2-[2-[p-(1,4,5,6-tetrahydro-2-pyrimidinyl)phenyl]acetamido]acetamido]penicillanic acid.

抗菌药。

Rotamicillin.

INN,USAN.

随便看

 

离鸟网收录3541549条中英文词条,其功能与新华字典、现代汉语词典、牛津高阶英汉词典等各类中英文词典类似,基本涵盖了全部常用中英文字词句的读音、释义及用法,是语言学习和写作的有利工具。

 

Copyright © 2004-2024 vtrois.com All Rights Reserved
更新时间:2026/4/8 17:58:00