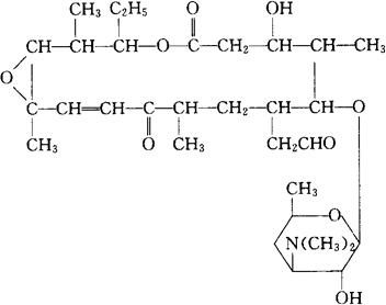
罗沙米星
C31H51NO9=581.75 CAS-35834-26-5 3-乙基-7-羟-2,8,12,16-四甲基-5,13-二氧代-9-[[3,4,6-三脱氧-3-(二甲氨基)-β-D-吡喃己糖基]氧]-4,17-二氧杂双环[14,1,0]17-14-烯-10-乙醛的立体异构体。 Stereoisomer of 3-ethyl-7-hydroxy-2,8,12,16-tetramethyl-5,13-dioxo-9-[[3,4,6-trideoxy-3-(dimethylamino)-β-D-xylo-hexopranosyl]oxy]-4,17-dioxabicyclo[14,1,0]heptadec-14-ene-10-acetaldehyde. 抗生素类药。 蔷薇霉素。 Rosaramicin,Rosamicin. INN,BAN,USAN,MI.  |