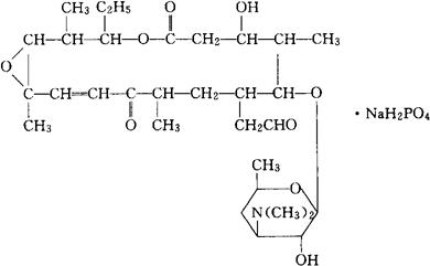
罗沙米星磷酸钠
C31H51NO9·NaH2PO4=701.72 CAS-6080-40-6 CAS-35834-26-5(rosaramicin) 4′-脱氧-卷须霉素A1与磷酸二氢钠的化合物。 4′-Deoxy-cirramycin A1,compd.with sodium dihydrogen phosphate. 蔷薇霉素与磷酸二氢钠的化合物(1∶1)。 Rosamicin compound with sodium dihydrogen phosphate(1∶1). 3-乙基-7-羟-2,8,12,16-四甲基-5,13-二氧代-9-[[3,4,6-三脱氧-3-(二甲氨基)-β-D-木-吡喃己糖基]氧]-4,17-二噁双环[14,1,0]-十七碳-14-烯-10-乙醛的立体异构体与磷酸二氢钠(1∶1)的化合物。 Stereoisomer of 3-ethyl-7-hydroxy-2,8,12,16-tetramethyl-5,13-dioxo-9-[[3,4,6-trideoxy-3-(dimethylamino)-β-D-xylo-hexopyranosyl]oxy]-4,17-dioxabicyclo[14,1,0]heptadec-14-ene-10-acetaldehyde,compound with sodium dihydrogen phosphate(1∶1). 抗菌药。 Rosaramicin Sodium Phosphate,Sch 14947. NaH2PO4,Rosamicin Sodium Phosphate. USAN.  |