网站首页  词典首页


请输入您要查询的字词:

 

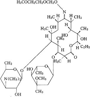
字词 罗红霉素
类别 中英文字词句释义及详细解析
释义 罗红霉素

C41H76N2O15=837.06

CAS-80214-83-1

9-[O-[(2-甲氧基乙氧)甲基]肟]红霉素。

Erythromycin,9-[O-[(2-methoxyethoxy)methyl]oxime].

大环内酯抗生素类药。用于呼吸道感染、泌尿生殖系统感染、皮肤和软组织感染以及身体其它部位的感染。

Roxithromycin,RU 28965,Antibiotic RU 28965,Rulid.

INN,USAN.

随便看

 

离鸟网收录3541549条中英文词条,其功能与新华字典、现代汉语词典、牛津高阶英汉词典等各类中英文词典类似,基本涵盖了全部常用中英文字词句的读音、释义及用法,是语言学习和写作的有利工具。

 

Copyright © 2004-2024 vtrois.com All Rights Reserved
更新时间:2026/4/9 12:55:36