网站首页  词典首页


请输入您要查询的字词:

 

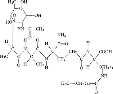
字词 罗莫肽
类别 中英文字词句释义及详细解析
释义 罗莫肽

C43H78N6O13=887.12

CAS-78113-36-7

2-乙酰胺基-3-O-[(R)-1-[[(S)-1-[[(R)-1-氨基甲酰基-3-[[(S)-1-羧-5-硬脂酰胺基戊基]氨基甲酰]丙基]氨基甲酰]乙基]氨基甲酰]乙基]-2-脱氧-D-吡喃葡萄糖。

2-Acetamido-3-O-[(R)-1-[[(S)-1-[[(R)-1-carbamoyl-3-[[(S)-1-carboxy-5-stearamidopentyl]carbamoyl]propyl]carbamoyl]ethyl]carbamoyl]ethyl]-2-deoxy-D-glucopyranose.

免疫调节药。

Romurtide.

INN,USAN.

随便看

 

离鸟网收录3541549条中英文词条,其功能与新华字典、现代汉语词典、牛津高阶英汉词典等各类中英文词典类似,基本涵盖了全部常用中英文字词句的读音、释义及用法,是语言学习和写作的有利工具。

 

Copyright © 2004-2024 vtrois.com All Rights Reserved
更新时间:2026/4/7 12:20:17