网站首页  词典首页


请输入您要查询的字词:

 

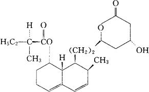
字词 美伐他汀
类别 中英文字词句释义及详细解析
释义 美伐他汀

C23H34O5=390.52

CAS-73573-88-3

(S)-2-甲基丁酸(1S,7S,8S,8aR)-1,2,3,7,8,8a-六氢-7-甲基-8-[2[(2R,4R)-四氢-4-羟基-6-氧代-2H吡喃-2-基]乙基]-1-萘酯-。

(1S,7S,8S,8aR)-1,2,3,7,8,8a-Hexahydro-7-methyl-8-[2-[(2R,4R)-tetrahydro-4-hydroxy-6-oxo-2Hpyran-2-yl]ethyl]-1-naphthyl(S)-2-methylbutyrate.

降血脂药。

Mevastatin.

INN,USAN,MI.

随便看

 

离鸟网收录3541549条中英文词条,其功能与新华字典、现代汉语词典、牛津高阶英汉词典等各类中英文词典类似,基本涵盖了全部常用中英文字词句的读音、释义及用法,是语言学习和写作的有利工具。

 

Copyright © 2004-2024 vtrois.com All Rights Reserved
更新时间:2026/4/8 4:05:09