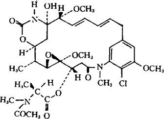
美坦新
C34H46ClN3O10=692.20 CAS-35846-53-8 N-乙酰-N-甲基-L-丙氨酸[1S-(1R*,2S*,3R*,5R*,6R*,16E,18E,20S*,21R*)]-11-氯-21-羟-12,20-二甲氧-2,5,9,16-四甲基-8,23-二氧代-4,24-二氧杂-9,22-二氮杂四环[19.3.1.110,14.03,5]-二十六-10,12,14(26),16,18-五烯-6-基酯。 N-Acetyl-N-methyl-L-alanine[1S-(1R*,2S*,3R*,5R*,6R*,16E,18E,20S*,21R*)]-11-chloro-21-hydroxy-12,20-dimethoxy-2,5,9,16-tetramethyl-8,23-dioxo-4,24-dioxa-9,22-diazatetracyclo[19.3.1.110.14.03,5]-hexacosa-10,12,14(26),16,18-pentaen6-yl ester. 抗肿瘤药。 Maitansine,Maytansine,NSC-153858. INN,USAN.  |