网站首页  词典首页


请输入您要查询的字词:

 

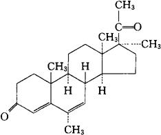
字词 美屈孕酮
类别 中英文字词句释义及详细解析
释义 美屈孕酮

C23H32O2=340.50

CAS-977-79-7

6,17-二甲基孕甾-4,6-二烯-3,20-二酮。

6,17-Dimethylpregna-4,6-diene-3,20-dione.

孕激素类药。

Medrogestone,AY-62022,NSC-123018,Metrogestone,Ayerluton,Colpro,Colprone,Etogyn,Prothil,R 18615.

INN,BAN,DCF,DCIT,USAN.

随便看

 

离鸟网收录3541549条中英文词条,其功能与新华字典、现代汉语词典、牛津高阶英汉词典等各类中英文词典类似,基本涵盖了全部常用中英文字词句的读音、释义及用法,是语言学习和写作的有利工具。

 

Copyright © 2004-2024 vtrois.com All Rights Reserved
更新时间:2026/4/5 15:04:07