网站首页  词典首页


请输入您要查询的字词:

 

字词 美托喹嗪
类别 中英文字词句释义及详细解析
释义 美托喹嗪

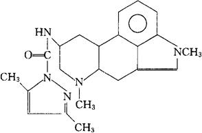
C22H27N5O=377.49

CAS-7125-67-9

3,5-二甲基-N-(4,6,6a,7,8,9,10,10a-八氢-4,7-二甲基吲哚并[4.3-fg]喹啉-9-基)-1H-吡唑-1-羧酰胺。

3,5-Dimethyl-N-(4,6,6a,7,8,9,10,10a-octahydro4,7-dimethylindolo[4.3-fg]quinolin-9-yl)1H-pyrazole-1-carboxamide.

3,5-二甲基-N-(4,6,6a,7,8,9,10a-八氢-4.7-二甲基吲哚并[4.3-fg]喹啉-9-基)吡唑-1-羧酰胺。

3,5-Dimethyl-N-(4,6,6a,7,8,9,10,10a-octahydro4,7-dimethylindolo[4,3-fg]quinolin-9-yl)pyrazole1-carboxamide.

4,7-二甲基-9-(3.5-二甲基吡唑-1-羧酰胺基)-4,6,6a,7,8,9,10,10a-八氢吲哚并[4,3-fg]喹啉。

4,7-Dimethyl-9-(3,5-dimethylpyrazole-1-carboxamido)-4,6,6a,7,8,9,10,10a-octahydroindolo[4,3-fg]quinoline.

抗胆碱药。

美托喹兴。

Metoquizine,Lilly 42406.

INN,USAN,DCTT

随便看

 

离鸟网收录3541549条中英文词条,其功能与新华字典、现代汉语词典、牛津高阶英汉词典等各类中英文词典类似,基本涵盖了全部常用中英文字词句的读音、释义及用法,是语言学习和写作的有利工具。

 

Copyright © 2004-2024 vtrois.com All Rights Reserved
更新时间:2026/4/7 12:34:00