网站首页  词典首页


请输入您要查询的字词:

 

字词 美托奋乃静
类别 中英文字词句释义及详细解析
释义 美托奋乃静

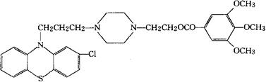
C31H36ClN3O5S=598.18

CAS-388-51-2

2-[4-[3-(2-氯吩噻嗪-10-基)丙基]-1-哌嗪基]乙基3,4,5-三甲氧基苯甲酸酯。

2-[4-[3-(2-Chlorophenothiazin-10-yl)propyl]-1-piperaqzinyl]ethyl 3,4,5-trimethoxybenzoate.

安定药。

美托奋乃酯。

Metofenazate,Methophenazine,Frenolon,Phecnolon,Sylador.

INN,NFN,USAN,MI.

随便看

 

离鸟网收录3541549条中英文词条,其功能与新华字典、现代汉语词典、牛津高阶英汉词典等各类中英文词典类似,基本涵盖了全部常用中英文字词句的读音、释义及用法,是语言学习和写作的有利工具。

 

Copyright © 2004-2024 vtrois.com All Rights Reserved
更新时间:2026/4/7 5:41:59