网站首页  词典首页


请输入您要查询的字词:

 

字词 美托烯醇
类别 中英文字词句释义及详细解析
释义 美托烯醇

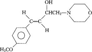
C15H21NO3=263.34

CAS-103980-45-6

(±)-(E)-α-(对-甲氧苯乙烯基)-4-吗啉乙醇。

(±)-(E)-α-(p-Methoxystyryl)-4-morpholineeth anol.

4-(4-甲氧苯基)-1-吗啉基-3-丁烯-2-醇。

4-(4-Methoxyphenyl)-1-morpholino-3-buten-2-ol.

抗抑郁药。

Metostilenol.

INN,DCF,USAN.

随便看

 

离鸟网收录3541549条中英文词条,其功能与新华字典、现代汉语词典、牛津高阶英汉词典等各类中英文词典类似,基本涵盖了全部常用中英文字词句的读音、释义及用法,是语言学习和写作的有利工具。

 

Copyright © 2004-2024 vtrois.com All Rights Reserved
更新时间:2026/4/9 14:21:47