网站首页  词典首页


请输入您要查询的字词:

 

字词 美昔前列素
类别 中英文字词句释义及详细解析
释义 美昔前列素

C23H40O6=412.57

CAS-88980-20-5

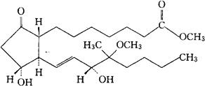
甲基(1R,2R,3R)-3-羟-2-[(E)-(3R)-3-羟-4-甲氧-4-甲基辛基]-5-氧代环戊烷庚酸盐。

Methyl(1R,2R,3R)-3-hydroxy-2-[(E)-(3R)-3-hydroxy-4-methoxy-4-methyloctyl]-5-oxocyclopentaneheptanoate.

11,15-二羟-16-甲氧-16-甲基-9-氧代前列腺-13-烯-1-酸甲酯。

11,15-Dihydroxy-16-methoxy-16-methyl-9-oxoprost13-en-1-oic acid methyl ester.

前列腺素类药(抗胃液的分泌),细胞免疫药。

Mexiprostil,MDL 646.

INN,USAN.

随便看

 

离鸟网收录3541549条中英文词条,其功能与新华字典、现代汉语词典、牛津高阶英汉词典等各类中英文词典类似,基本涵盖了全部常用中英文字词句的读音、释义及用法,是语言学习和写作的有利工具。

 

Copyright © 2004-2024 vtrois.com All Rights Reserved
更新时间:2026/4/7 20:12:19