网站首页  词典首页


请输入您要查询的字词:

 

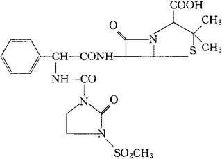
字词 美洛西林
类别 中英文字词句释义及详细解析
释义 美洛西林

C21H25N5O8S2=539.58

CAS-51481-65-3

6R-[2-(3-甲磺酰基-2-氧代-1-咪唑烷羧酰胺基)-2-苯乙酰胺基]青霉烷酸。

6R-]2-(3-Methylsulfonyl-2-oxo-1-imidazolidinecarboxamido)-2-phenylacetamido]penicillanic acid.

抗生素类药。

咪唑西林。

Mezlocillin,Mezlin,Multocillin.

INN,DCF,DCIT,JAN,USAN,USP,MI.

随便看

 

离鸟网收录3541549条中英文词条,其功能与新华字典、现代汉语词典、牛津高阶英汉词典等各类中英文词典类似,基本涵盖了全部常用中英文字词句的读音、释义及用法,是语言学习和写作的有利工具。

 

Copyright © 2004-2024 vtrois.com All Rights Reserved
更新时间:2026/4/7 19:35:04