网站首页  词典首页


请输入您要查询的字词:

 

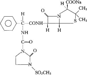
字词 美洛西林钠
类别 中英文字词句释义及详细解析
释义 美洛西林钠

C21H24NaN5O8S2=561.56

CAS-42057-22-7

CAS-59798-30-0

[2S-[2α,5α,6β(S*)]]-3,3-二甲基-6-[[[[[(3-甲磺酰)-2-氧代-1-咪唑烷基]羰基]氨基]苯乙酰]氨基]-7-氧代-4-噻-1-氮杂双环[3.2.0]庚烷-2-羧酸,单钠盐。

[2S-[2α,5α,6β(S*)]]-3,3-Dimethyl-6-[[[[[(3-methylsulfonyl)-2-oxo-1-imidazolidinyl]carbonyl]amino]phenylacetyl]amino]-7-oxo-4-thia-1-azabicyclo[3.2.0]heptane-2-carboxylic acid,monosodium salt.

(2S,5R,6R)-3,3-二甲基-6-[(R)-2-[(3-甲磺酰)-2-氧代-1-咪唑烷羧酰胺基]-2-苯乙酰胺基]-7-氧代-4-噻-1-氮杂双环[3.2.0]庚烷-2-羧酸钠盐。

Sodium(2S,5R,6R)-3,3-dimethyl-6-[(R)-2-[(3-methylsulfonyl)-2-oxo-1-imidazolidinecarboxamido]-2-phenylacetamido]-7-oxo-4-thia-1-azabicyclo[3.2.0]heptane-2-carboxylate.

抗菌药。

美唑西林钠。

Mezlocillin Sodium,Baycipen,Baypen,Mezlocillin Sodium.

JAN,USAN,USP.

随便看

 

离鸟网收录3541549条中英文词条,其功能与新华字典、现代汉语词典、牛津高阶英汉词典等各类中英文词典类似,基本涵盖了全部常用中英文字词句的读音、释义及用法,是语言学习和写作的有利工具。

 

Copyright © 2004-2024 vtrois.com All Rights Reserved
更新时间:2026/4/8 13:18:22