网站首页  词典首页


请输入您要查询的字词:

 

字词 美溴沙兰
类别 中英文字词句释义及详细解析
释义 美溴沙兰

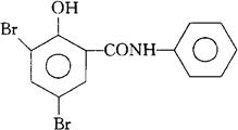
C13H9Br2NO2=371.03

CAS-2577-72-2

3,5-二溴-2-羟-N-苯基苯甲酰胺。

3,5-Dibromo-2-hydroxy-N-phenylbenzamide.

3,5-二溴水杨酰苯胺。

3,5-Dibromosalicylanilide.

消毒防腐药。

美溴沙仑,米他溴沙兰。

Metabromsalan.

INN,NF,NFN,USAN.

随便看

 

离鸟网收录3541549条中英文词条,其功能与新华字典、现代汉语词典、牛津高阶英汉词典等各类中英文词典类似,基本涵盖了全部常用中英文字词句的读音、释义及用法,是语言学习和写作的有利工具。

 

Copyright © 2004-2024 vtrois.com All Rights Reserved
更新时间:2026/5/25 18:38:33