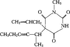
美索比妥
C14H18N2O3=262.31 CAS-18652-93-2 5-烯丙基-1-甲基-5-(1-甲基-2-戊炔基)巴比土酸。 5-Allyl-1-methyl-5-(1-methyl-2-pentynyl)barbituricacid. 5-烯丙基-1-甲基-5-(1-甲基-2-戊炔基)-2,4,6(1H,3H,5H)-嘧啶三酮。 5-Allyl-1-methyl-5-(1-methyl-2-pentynyl)-2,4,6(1H,3H,5H)-pyrimidinetrione. 催眠镇静药。 甲海西妥。 Methohexital,Brevital. USAN,USP.  |