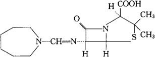
美西林
C15H23N3O3S=325.43 CAS-32887-01-7 6-[(六氢-1H-氮 -1-基)亚甲基氨基]青霉烷酸。 6-[(Hexahydro-1H-azepin-1-yl)methyleneamino]penicillanic acid. 抗生素类药。 氮 西林,氮 味青霉素。 Amdinocillin(USAN),Coactin,Amidinopenicillin Hx,Mecillinam,Selexid,Selexidin,Ro 10-9070,FL1060. INN,BAN,DCF,USAN,USP,MI. 
|