网站首页  词典首页


请输入您要查询的字词:

 

字词 美西那隆
类别 中英文字词句释义及详细解析
释义 美西那隆

C24H27NO6=425.48

CAS-26225-59-2

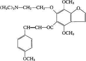
1-[6-[-2-(二甲氨基)乙氧]-4,7-二甲氧-5-苯并呋喃基]-3-(对-甲氧苯基)-2-丙烯-1-酮。

1-[6-[2-(Dimethylamino)ethoxy]-4,7-dimethoxy-5-benzofuranyl]-3-(p-methoxyphenyl)-2-propen-1-one.

5-对-甲氧肉桂酰基-4,7-二甲氧-6-(2-二甲氨基乙氧基)苯并[b]呋喃。

5-p-Methoxycinnamoyl-4,7-dimethoxy-6-(2-dimethylaminoethoxy)benzo[b]furan.

血管扩张药,抗高血压药,解痉药。

美施那荣。

Mecinarone,6809 MD.

INN,USAN.

随便看

 

离鸟网收录3541549条中英文词条,其功能与新华字典、现代汉语词典、牛津高阶英汉词典等各类中英文词典类似,基本涵盖了全部常用中英文字词句的读音、释义及用法,是语言学习和写作的有利工具。

 

Copyright © 2004-2024 vtrois.com All Rights Reserved
更新时间:2026/4/7 0:19:05