美诺立尔
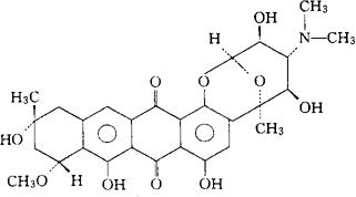
C28H31NO10=541.55 CAS-71628-96-1 [2R-(2α,3β,4α,5β,6α,11α,13α)]-4-(二甲氨基)-3,4,5,6,11,12,13,14-八氢-3,5,8,10,17-五羟-11-甲氧-6,13-二甲基-2,6-环氧-2H-并四苯基[1,2-b]氧辛-9,16-二酮。 [2R-(2α,3β,4α,5β,6α,11α,13α)]-4-(Dimethylamino)-3,4,5,6,11,12,13,14-octahydro3,5,8,10,13-pentahydroxy-11-methoxy-6,13-dimethyl-2,6-epoxy-2H-naphthaceno[1,2-b]oxocin9,16-dione. (2R,3S,4R,5R,6R,11R,13R)-4-(二甲氨基)-3,4,5,6,11,12,13,14-八氢-3,5,8,10,13-五羟-11-甲氧-6,13-二甲基-2,6-环氧-2H-并四苯基[1,2-b]氧辛-9,16-二酮。 (2R,3S,4R,5R,6R,11R,13R)-4-(Dimethylamino)-3,4,5,8,11,12,13,14-octahydro-3,5,6,10,13-pentahydroxy-11-methoxy-6,13-dimethyl-2,6-epoxy2H-naphthaceno[1,2-b]oxocin-9,16-dione.抗肿瘤药。 Menogaril,U-52,047,NSC-269148,Tomosar. INN,DCF,USAN.  |