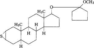
美雄烷
C25H40O2S=404.65 CAS-21362-69-6 2α,3α-环硫-5α-雄甾烷-17β-基环戊酮甲基乙缩醛。 Cyclopentanone 2α,3α-epithio-5α-androstan-17β-yl methyl aceta[. 2α,3α-环硫-17-[(1-甲氧环戊基)氧]雄甾烷。 2α,3α-Epithio-17-[(1-methoxycyclopentyl)oxy]androstane. 抗肿瘤药,抗雌激素药。 Mepitiostane,Thioderon,10364-S. INN,JAN,USAN.  |