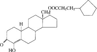
羟勃龙环戊丙酸酯
C26H38O4=414.58 CAS-1254-35-9 4,17β-二羟-雌甾-4-烯-3-酮17-环戊烷丙酸酯。 4,17β-Dihydroxy-estr-4-en-3-one 17-cyclopentanepropionate. 17-(3-环戊基-1-氧代丙氧)-4-羟-4-雌烯-3-酮。 17-(3-Cyclopentyl-l-oxopropoxy)-4-hydroxy-4-estren-3-one. 雄激素,同化激素类药。 氧宝龙戊丙酯。 Oxabolone Cipionate,FI 5852. INN,USAN.  |