网站首页  词典首页


请输入您要查询的字词:

 

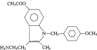
字词 羟吲达酯
类别 中英文字词句释义及详细解析
释义 羟吲达酯

C21H24N2O3=352.42

CAS-7008-14-2

3-(2-氨乙基)-1-(对-甲氧苄基)-2-甲基吲哚-5-醇醋酸酯。

3-(2-Aminoethyl)-1-(p-methoxybenzyl)-2-methylindol-5-ol ace-tate ester.

利尿药,5-羟色胺拮抗药。

Hydroxindasate.

INN,USAN.

随便看

 

离鸟网收录3541549条中英文词条,其功能与新华字典、现代汉语词典、牛津高阶英汉词典等各类中英文词典类似,基本涵盖了全部常用中英文字词句的读音、释义及用法,是语言学习和写作的有利工具。

 

Copyright © 2004-2024 vtrois.com All Rights Reserved
更新时间:2026/4/8 6:11:34