网站首页  词典首页


请输入您要查询的字词:

 

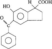
字词 羟吲达酸
类别 中英文字词句释义及详细解析
释义 羟吲达酸

C17H14O4=282.30

CAS-68548-99-2

(±)-5-苯甲酰-6-羟-1-二氢化茚羧酸。

(±)-5-Benzoyl-6-hydroxy-l-indancarboxylic acid.

5-苯甲酰基-2,3-二氢-6-羟-1H-茚-1-羧酸。

5-Benzoyl-2,3-dihydro-6-hydroxy-1H-indene-l-carboxylic acid.

抗炎药。

茚来克酸。

Oxindanac,CGP 6258.

INN,USAN.

随便看

 

离鸟网收录3541549条中英文词条,其功能与新华字典、现代汉语词典、牛津高阶英汉词典等各类中英文词典类似,基本涵盖了全部常用中英文字词句的读音、释义及用法,是语言学习和写作的有利工具。

 

Copyright © 2004-2024 vtrois.com All Rights Reserved
更新时间:2026/4/7 11:58:30