网站首页  词典首页


请输入您要查询的字词:

 

字词 羟氨苄青霉素钠
类别 中英文字词句释义及详细解析
释义 羟氨苄青霉素钠

C16H18N3Na5S=387.4

CAS-34642-77-8

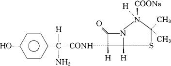
(6R)-6-(α-D-4-羟苯基甘氨酰氨基)青霉烷酸钠。

Sodium(6R)-6-(α-D-4-hydroxyphenylglycylamino)penicillanate.

(2S,5R,6R)-6-[(R)-(-)-2-氨基-2-(对-羟基苯基)乙酰胺基]-3,3-二甲基-7-氧-4-硫杂-1-氮杂双环[3.2.0]庚烷-2-羧酸钠盐。

(2S,5R,6R)-6-[(R)-(-)-2-Amino-2-(p-hydroxyphenyl)acetamido]-3,3-dimethyl-7-oxo-4-thia-1-azabicyclo[3.2.0]heptane-2-carboxylic acid sodiumsalt.

抗生素类药。

阿莫西林钠。

Amoxicilline Sodium.

INN(Amoxicillin),BAN(Amoxycillin),BP.

随便看

 

离鸟网收录3541549条中英文词条,其功能与新华字典、现代汉语词典、牛津高阶英汉词典等各类中英文词典类似,基本涵盖了全部常用中英文字词句的读音、释义及用法,是语言学习和写作的有利工具。

 

Copyright © 2004-2024 vtrois.com All Rights Reserved
更新时间:2026/4/6 21:01:52