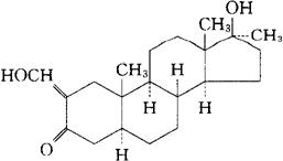
羟甲烯龙
C21H32O3=332.47 CAS-434-07-1 (5α,17β)-17-羟-2-(羟亚甲基)-17-甲基-5α-雄甾烷-3-酮。 (5α,17β)-Hydroxy-2-(hydroxymethylene)-17-methy-androstan-3-one. 17β-羟-2-羟亚甲基-17-甲基-5α-雄甾烷-3-酮。 17β-Hydroxy-2-(hydroxymethylene)-17-methyl-5α-androstan-3-one. 促蛋白同化激素。 用于小儿发育不全、年老体衰、病后体弱消瘦、白细胞减少症及长期服用皮质激素引起的肾上腺皮质功能萎缩。 康复龙,羟次甲氢龙,羟次甲基睾丸酮。 Oxymetholone,Oximetholonum,Adroyd,Anadrol,CL-406,HMD. 康复龙片。 INN,BAN,BP,DCF,DCIT,JAN,NF,NFN, USAN,USP,MI.  |