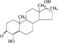
羟甲睾酮
C20H30O3=318.46 CAS-145-12-0 4,17β-二羟-17-甲基雄甾-4-烯-3-酮。 4,17β-Dihydroxy-17-methylandrost-4-en-3-one. 4-羟-17-甲基睾酮。 4-Hydroxy-17-methyltestosterone. 雄激素,蛋白同化激素。 Oxymesterone,Methandrostenediolone,Anamidol,Balnimax,Oranabol,Ossimesterone,Oxymestrone, Sanaboral,Theranabol,Tubil. INN,BAN,DCF,USAN,MI.  |