网站首页  词典首页


请输入您要查询的字词:

 

字词 羟考酮
类别 中英文字词句释义及详细解析
释义 羟考酮

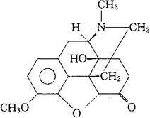
C18H21NO4=315.37

CAS-76-42-6

(5α)-4,5-环氧-14-羟-3-甲氧-17-甲基吗啡喃-6-酮。

(5α-4,5-poxy-14-hydroxy-3-methoxy-17-methyl,morphinan-6-one.

(-)-14-羟二氢可待因酮。

(-)-14-Hydroxydihydrocodeinone.

镇痛药。

羟可酮(台),羟可待酮。

Oxycodone,NSC-19043.

INN,USAN.

随便看

 

离鸟网收录3541549条中英文词条,其功能与新华字典、现代汉语词典、牛津高阶英汉词典等各类中英文词典类似,基本涵盖了全部常用中英文字词句的读音、释义及用法,是语言学习和写作的有利工具。

 

Copyright © 2004-2024 vtrois.com All Rights Reserved
更新时间:2026/5/27 14:42:48