群多普列
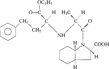
C24H34N2O5=430.54 CAS-87679-37-6 (2S,3aR,7aS)-1-[(S)-N-[(S)-1-羧基-3苯丙基]丙氨酰]六氢-2-二氢吲哚羧酸1-乙酯。 (2S,3aR,7aS)-1-[(S)-N-[(S)-1-Carboxy-3-phenylpropyl]alanyl]hexahydro-2-indolinecarboxylic acid,1-ethyl ester. 抗高血压药,血管紧张素(增压素)转化酶抑制药。 Trandolapril. INN,USAN.  |