网站首页  词典首页


请输入您要查询的字词:

 

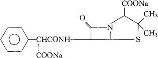
字词 羧苄西林钠[中]
类别 中英文字词句释义及详细解析
释义 羧苄西林钠[中]

C17H16N2Na2O6S=422.36

CAS-4800-94-6

6-[(羧苯乙酰)氨基]-3,3-二甲基7-氧代-4硫杂-1-氮杂双环[3.2.0]庚烷-2-羧酸二钠盐。

6-[(Carboxyphenylacetyl)amino]-3,3-dimethyl-7-oxo-4-thia-1-azabicyclo[3.2.0]heptane-2-carboxylic acid,disodium salt.

N-[(2S,5R,6R)2-羧-3,3-二甲基-7-氧代-4-硫杂-1-氮杂双环[3.2.0]庚-6-基]-2-苯基丙二酰胺酸二钠盐。

N-[(2S,5R,6R)-2-Carboxy-3,3-dimethyl-7-oxo-4-thia-1-azabicyclo[3.2.0]hept-6-yl]-2-phenylmalonamic acid,disodium salt.

抗生素类药。

羧苄青霉素钠,卡比西林钠。

Carbenicillin Sodium,Carbapen,Geopen,Pyopen,BRL-2064,Carbencillin Disodium,CP-15-639-2,NSC-111071.

随便看

 

离鸟网收录3541549条中英文词条,其功能与新华字典、现代汉语词典、牛津高阶英汉词典等各类中英文词典类似,基本涵盖了全部常用中英文字词句的读音、释义及用法,是语言学习和写作的有利工具。

 

Copyright © 2004-2024 vtrois.com All Rights Reserved
更新时间:2026/4/7 19:01:47