网站首页  词典首页


请输入您要查询的字词:

 

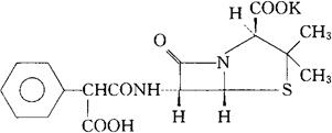
字词 羧苄西林钾
类别 中英文字词句释义及详细解析
释义 羧苄西林钾

C17H17KN2O6S=416.49

CAS-17230-86-3

CAS-4697-36-3(carbenicillin)

6-[(羧苯乙酰)氨基]-3,3-二甲基-7-氧代-4-硫杂-1-氮杂双环[3.2.0]庚烷-2-羧酸单钾盐[6s-(2α,5α,6β)]。

6-[(Carboxyphenylacetyl)amino]-3,3-dimethyl-7-oxo-4-thia-1-azabicyclo[3.2.0]heptane-2-carboxylicacid,monopotassium salt,[6s-(2α,5α,6β)].

N-(2-羧-3,3-二甲基7-氧代-4-硫朵-1-氮杂双环[3.2.0]庚基-6-基)-2-苯丙二酰胺酸2-(钾盐)。

N-(2-Carboxy-3,3 dimethyl-7-oxo-4-thia-1-azabicyclo[3.2.0]hept-6-yl)-2-phenylmalonamic acid 2-(potassium salt).

抗生素类药。

羧苄青霉素钾。

Carbenicillin Potassium,GS-3159.

USAN.

随便看

 

离鸟网收录3541549条中英文词条,其功能与新华字典、现代汉语词典、牛津高阶英汉词典等各类中英文词典类似,基本涵盖了全部常用中英文字词句的读音、释义及用法,是语言学习和写作的有利工具。

 

Copyright © 2004-2024 vtrois.com All Rights Reserved
更新时间:2026/4/8 4:18:58