网站首页  词典首页


请输入您要查询的字词:

 

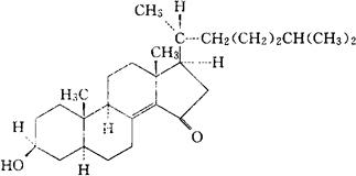
字词 考来酮
类别 中英文字词句释义及详细解析
释义 考来酮

C27H44O2=400.65

CAS-50673-97-7

(3β,5α)-3-羟-胆甾-8(14)-烯-15-酮。

Cholest-8(14)-en-15-one,3-hydroxy-,(3β,5α)-.3β-羟基-5α-胆甾-8(14)烯-15-酮。

3β-Hydroxy-5α-cholest-8(14)en-15-one.

降血脂药。

Colestolone,Cl 274,471.

INN,USAN.

随便看

 

离鸟网收录3541549条中英文词条,其功能与新华字典、现代汉语词典、牛津高阶英汉词典等各类中英文词典类似,基本涵盖了全部常用中英文字词句的读音、释义及用法,是语言学习和写作的有利工具。

 

Copyright © 2004-2024 vtrois.com All Rights Reserved
更新时间:2026/5/31 18:12:38