网站首页  词典首页


请输入您要查询的字词:

 

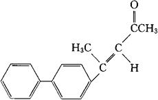
字词 联苯戊烯酮
类别 中英文字词句释义及详细解析
释义 联苯戊烯酮

C17H16O=236.31

CAS-55845-78-8

(E)-4-(4-联苯基)-3-戊烯-2-酮。

(E)-4-(4-Biphenylyl)-3-penten-2-one.

4-(1,1′-联苯-4-基)-3-戊烯-2-酮。

4-(1,1′-Biphenyl-4-yl)-3-penten-2-one.

消炎镇痛药。

Xenipenton,RP 48-482.

INN,USAN.

随便看

 

离鸟网收录3541549条中英文词条,其功能与新华字典、现代汉语词典、牛津高阶英汉词典等各类中英文词典类似,基本涵盖了全部常用中英文字词句的读音、释义及用法,是语言学习和写作的有利工具。

 

Copyright © 2004-2024 vtrois.com All Rights Reserved
更新时间:2026/4/8 13:19:22