网站首页  词典首页


请输入您要查询的字词:

 

字词 聚司替雷伪麻黄碱
类别 中英文字词句释义及详细解析
释义 聚司替雷伪麻黄碱

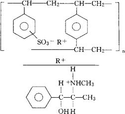
二乙烯苯,与乙烯苯,聚合磺酸化,与[S-(R*,R*)]-α-[1-(甲氨基)乙基]苯甲醇复合物。

Diethenyl-benzene,polymer with ethenylbenzene,sulfonated,complex with[S-(R*,R*)]-α-[1-(methylamino)ethyl]benzenemethanol.

磺化苯乙烯-联乙烯苯共聚物与(+)-伪麻黄碱的复合物。

Sulfonated styrene-divinylbenzene copolymer complex with(+)-pseudoephedrine.

鼻粘膜充血消除药。

Pseudoephedrine Polistirex.

USAN.

随便看

 

离鸟网收录3541549条中英文词条,其功能与新华字典、现代汉语词典、牛津高阶英汉词典等各类中英文词典类似,基本涵盖了全部常用中英文字词句的读音、释义及用法,是语言学习和写作的有利工具。

 

Copyright © 2004-2024 vtrois.com All Rights Reserved
更新时间:2026/4/6 19:08:05