网站首页  词典首页


请输入您要查询的字词:

 

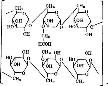
字词 聚糖酐
类别 中英文字词句释义及详细解析
释义 聚糖酐

CAS-56087-11-7

右旋糖酐2,3-二羟丙基2-羟基-1,3-丙烷二基醚。

Dextran 2,3-dihydroxypropyl 2-hydroxy-1,3-propanediyl ether.

创面清洁剂。

Dextranomer,Debrisan,Debrisorb.

随便看

 

离鸟网收录3541549条中英文词条,其功能与新华字典、现代汉语词典、牛津高阶英汉词典等各类中英文词典类似,基本涵盖了全部常用中英文字词句的读音、释义及用法,是语言学习和写作的有利工具。

 

Copyright © 2004-2024 vtrois.com All Rights Reserved
更新时间:2026/5/26 17:47:34