网站首页  词典首页


请输入您要查询的字词:

 

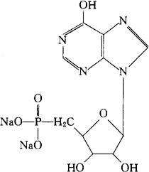
字词 肌苷酸钠[中]
类别 中英文字词句释义及详细解析
释义 肌苷酸钠[中]

C10H11N4Na2O8·71/2H2O=527.20

次黄嘌呤核苷-5-磷酸酯二钠盐。

Hypoxanthine riboside-5-phosphate disodium salt.

细胞赋活药。用于急慢性肝脏疾病、心脏病、白血球或血小板减少症及中心视网膜炎、视神经萎缩等疾病。

肌苷磷酸钠。

Inosin Sodium Monophosphate,Sodium Inosinate.

肌苷酸钠片,肌肝酸钠注射液。

随便看

 

离鸟网收录3541549条中英文词条,其功能与新华字典、现代汉语词典、牛津高阶英汉词典等各类中英文词典类似,基本涵盖了全部常用中英文字词句的读音、释义及用法,是语言学习和写作的有利工具。

 

Copyright © 2004-2024 vtrois.com All Rights Reserved
更新时间:2026/4/9 14:13:57