网站首页  词典首页


请输入您要查询的字词:

 

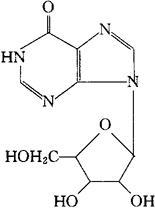
字词 肌苷[中]
类别 中英文字词句释义及详细解析
释义 肌苷[中]

C10H12N4O5=268.23

CAS-58-63-9

肌苷。

Inosine.

细胞赋活剂。用于各种急慢性肝脏疾病、白血球或血小板减少症及中心性视网膜炎、视神经萎缩等疾病。

次黄嘌呤核甙,肌甙。

Inosine,Hypoxanthine Riboside,Ribonosine,Aminosin,Inosie,Oxiamine.

肌苷片,肌苷注射液,肌苷胶囊。

INN,DCF,JAN,USAN.

随便看

 

离鸟网收录3541549条中英文词条,其功能与新华字典、现代汉语词典、牛津高阶英汉词典等各类中英文词典类似,基本涵盖了全部常用中英文字词句的读音、释义及用法,是语言学习和写作的有利工具。

 

Copyright © 2004-2024 vtrois.com All Rights Reserved
更新时间:2026/5/25 8:56:54