网站首页  词典首页


请输入您要查询的字词:

 

字词 肟莫南
类别 中英文字词句释义及详细解析
释义 肟莫南

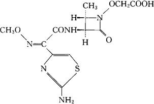
C12H15N5O6S=357.34

CAS-90898-90-1

[2S-[2α,3β(Z)]]-[[3-[[(2-氨基-4-噻唑基)(甲氧亚氨基)-乙酰]氨基]-2-甲基-4-氧代-1-氮杂环丁烷基]氧]乙酸。

[2S-[2α,3β(Z)]]-[[3-[[(2-Amino-4-thiazolyl)(methoxyimino)-acetyl]amino]-2-methyl-4-oxo-lazetidinyl]oxy]acetic acid.

[[(2S,3S)-3-[(2-氨基-4-噻唑基)乙醛酰胺基]-2-甲基-4-氧代-1-氮杂环丁烷基]氧]乙酸,32-(Z)-(O甲肟)。

[[(2S,3S)-3-[(2-Amino-4-thiazolyl)glyoxylamido]-2-methyl-4-oxo-l-azetidinyl]oxy]acetic acid,32-(Z)-(O-methyloxime).

抗生素类药,抗菌药。

噻肟蒙南。

Oximonam,SQ 82291.

INN,USAN.

随便看

 

离鸟网收录3541549条中英文词条,其功能与新华字典、现代汉语词典、牛津高阶英汉词典等各类中英文词典类似,基本涵盖了全部常用中英文字词句的读音、释义及用法,是语言学习和写作的有利工具。

 

Copyright © 2004-2024 vtrois.com All Rights Reserved
更新时间:2026/4/9 15:20:33