网站首页  词典首页


请输入您要查询的字词:

 

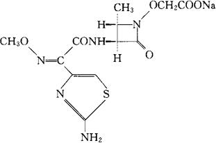
字词 肟莫南钠
类别 中英文字词句释义及详细解析
释义 肟莫南钠

C12H14N5NaO6S=379.32

CAS-90849-08-4

[2S-[2α,3β(Z)]]-[[3-[[(2-氨基-4-噻唑基)(甲氧亚氨基)乙酰]氨基]2-甲基-4-氧代-1-氮杂环丁烷基]氧]乙酸,单钠盐。

[2S-[2α,3β(Z)]]-[[3-[[(2-Amino-4-thiazolyl)(methoxyimino)-acetyl]amino]-2-methyl-4-oxo-lazetidinyl]oxy]acetic acid,monosodium salt.

[[(2S,3S)3-[(2-氨基-4-噻唑基)乙醛酰胺基]-2-甲基-4-氧代-1-氮杂环丁烷基]氧]乙酸盐,32-(Z)-(o甲基肟)。

Sodium[[(2S,3S)-3-[(2-amino-4-thiazolyl)glyoxy amido]-2-methyl-4-oxo-l-azetidinyl]oxy]acetate,32-(Z)-(o-methyloxime).

抗生素类药。

Oximonam Sodium,SQ 82629.

USAN.

随便看

 

离鸟网收录3541549条中英文词条,其功能与新华字典、现代汉语词典、牛津高阶英汉词典等各类中英文词典类似,基本涵盖了全部常用中英文字词句的读音、释义及用法,是语言学习和写作的有利工具。

 

Copyright © 2004-2024 vtrois.com All Rights Reserved
更新时间:2026/4/8 6:14:54