网站首页  词典首页


请输入您要查询的字词:

 

字词 股本成本率
类别 中英文字词句释义及详细解析
释义 股本成本率

指公司在实施投资方案中,以其股票行情稳定不变为前提预期得到的普通股产权筹资部分的最低收益率。

如公司投资方案的预期收益率低于这个最低收益率,其股票市价最终将下跌。按照股利——资本化模式,股本成本率可以认为是边际投资者要求的能使公司每股普通股票的所有预期未来股利的现值等于当前每股普通股票的市价的折现率。

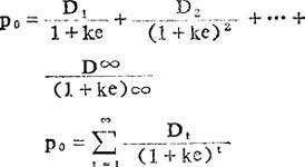
这种折现率的公式是:

式中,p0为零时每股普通股票的价值,D1是第t期的预期每股股利,ke是适当的折现率,∑代表从第1期至无穷(用符号∞表示)期的经过折现的预期未来股利相加之和。

随便看

 

离鸟网收录3541549条中英文词条,其功能与新华字典、现代汉语词典、牛津高阶英汉词典等各类中英文词典类似,基本涵盖了全部常用中英文字词句的读音、释义及用法,是语言学习和写作的有利工具。

 

Copyright © 2004-2024 vtrois.com All Rights Reserved
更新时间:2026/5/27 20:14:03