网站首页  词典首页


请输入您要查询的字词:

 

字词 股票交易价格理论公式
类别 中英文字词句释义及详细解析
释义 股票交易价格理论公式

反映股票内在价值的公式。

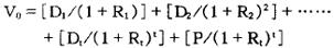
股票内在价值为公司未来各期股利的现值之和。公式如下:

式中,V0为股票内在价值即理论交易价格;t为持有期;D1、D2……Dt分别为各期现金股利;R1、R2……Rt分别为从目前到各期的贴现率;P为在t期的市场价格。

假定持有股票无限期,股利固定,贴现率相同,这一公式可简单表示为:

随便看

 

离鸟网收录3541549条中英文词条,其功能与新华字典、现代汉语词典、牛津高阶英汉词典等各类中英文词典类似,基本涵盖了全部常用中英文字词句的读音、释义及用法,是语言学习和写作的有利工具。

 

Copyright © 2004-2024 vtrois.com All Rights Reserved
更新时间:2026/4/7 7:52:00