网站首页  词典首页


请输入您要查询的字词:

 

字词 股票的发行
类别 中英文字词句释义及详细解析
释义 股票的发行

作为一家以股份有限公司形式组织起来的企业,股票的发行和上市问题将是企业的一个重要问题。需要指出,公司成立后发行的股票与公司成立前认购的股份有区别。成立前认购股份必须达到公司最低资本额。一般由发起人一次认足这一部分。

股票市场一般可以划分为股票发行市场和股票流通市场两部分。股票发行市场又叫一级市场,是指股票从发行者出售到投资者的场所。股票发行市场具有两方面职能,一是为资金需求者提供筹资场所;二是为投资者提供投资机会。

股票的发行,是从股票印制到销售,最后投资者购买的全过程。在这过程中,应实行公开、公平、公正的原则,必须同次发行的股票,每股发行条件与价格相同。

1.发行股票的条件

目前我国尚无统一的股票法规,但以我国股票发行实际情况来看,企业申请公开发行股票,必须符合下列条件:

(1)经国家有关部门批准设立股份有限公司;

(2)生产经营符合国家产业政策;

(3)财务、经营状况良好,净资产不低于1,000万元;

(4)申请前一年有形资产净值占有形资产总值比例应不低于25%;

(5)发起人认缴股份不少于500万元,不少于总股本的30%;

(6)向非特定个人公开发行股份不得少于总股本的25%,主管机关可适当提高公开发行比例;

(7)股东人数不少于800人;

(8)申请企业或发起人近3年内没有违法行为或损害公众利益的纪录。

2.发行股票的程序

(1)发行决策。决策内容包括发行股票的用途、种类、数量、股款缴纳日期、发行价格等。

(2)发行准备。股票发行的准备与股份有限公司的设立几乎是同步进行的。准备工作包括确立各有关当事人和准备各种发行必备的文件资料,具体是:

❶ 准备并起草申请发行所需的文件、资料;

❷ 委托一家会计事务所或审计事务所,为其审核签证财务会计报表;

❸ 委托一家资产评估机构为其评估资产;

❹ 起草发行所需文件,可委托一个证券公司来起草;

❺ 发行股票筹资用于固定资产投资的,事先须向计划部门办理固定资产投资批报手续;

❻ 物色与选定股票承销机构及承销方式。

(3)提出申请。通常在发行前2个月,由发行者向主管部门提出发行股票的申请。应在申请时提供下列文件:

❶ 申请报告;

❷ 政府批准为股份有限公司的文件或公司注册登记的证明;

❸ 公司章程;

❹ 资产评估机构的评估报告及会计事务所验资报告,如涉及国有资产评估的,由国有资产管理部门出具确认文件;

❺ 发行股票的章程;

❻ 股票发行的可行性分析报告;

❼ 发起人认购全部股份总额35%以上的证明;

❽ 经会计事务所签证的财务报告;

❾ 股东大会或发起人会议的相应决议;

❿ 经会计事务所签证的未来一年的年盈利预测;

⑾发行股票筹资用于固定资产投资的,应交验资计划部门准予投资的批准文件;

⑿主管机关要求的其他文件。

(4)主管机关审批。经初审及终审两个阶段在2月内作出是否批准发行及发行多少的批复。

(5)主管机关审定股票式样。

(6)发行股票。发行人在获准发行股票后,应在2月内完成股票发行,原定的股票发行是不能在中途随意变更的。在出售股票前,应向公众公开其发行股票的发明书。

(7)认股及分配。投资者一般需填写董事会签发的认股书,其中包括认购股份的数额、种类、金额、认购人姓名、住址等内容,签名盖章,然后到发行机构交纳股款。如购买无记名股票则无需填写认股书。在认股数达到一定额度后,发起人便可考虑股份的分配并通知认股人。认股人与公司的签约建立、生效。

如认股人逾期不缴股款,其所认股份由发起人另行招募。股款缴足后,发行工作即结束。

3.股票发行的决策

(1)股票发行数量的决策

股票发行数量即发行股票筹集资金的总规模,它决定的企业规模及其财务结构、经营风险与筹资成本。决策时应考虑以下因素:

❶ 政策规定。公司注册资本最低限额为人民币1,000万元。外商投资的公司注册资本不应少于人民币3,000万元。

❷ 公司经营规模对资金的需求。

❸ 公司资本结构。自有资本率较高的公司在经济不景气时受损的程度较低,但经济增长时期,较高的自有资本率会增加公司资本成本。

❹ 公司经营权的集中程度。股票发行过多或过于分散,会造成控制权的稀释。

❺ 股东收益。发行过多股票,特别是普通股,将降低每股收益水平。

(2)股票发行面值的决策

除了从公司所需资产及投资前景来考虑外,还应看税收及购买者的情况。一般面值低一些,发行时弹性较大,利于推销。

(3)股票发行种类的决策

这其实是是否发行及发行多少优先股的问题。应考虑普通股及优先股在筹资上对公司的利与弊。一般而言,优先股对那些现金流量和营业收入波动较大的公司最为有利。

(4)股票发行价格的决策

股票发行价格与票面价值可能一致也可能不一致,这取决于不同的发行价格。

❶ 平价发行。即以票面金额为发行价格来出售股票,这样,公司所得资本与股本一致。

❷ 溢价发行。即发行价格高于票面价值,这样公司可以在发行中增加一笔额外收入。

❸ 折价发行。即发行价格低于票面价值,公司得到的是打过折扣的资本。这么做的目的是吸引投资者。

❹ 时价发行。股票发行者在增发股票时,可以参照已发行股票的市场价格来确定发行价格。当时价发行确定的价格可以与面额相等,也可以接近时价或介于时价与面额之间。

《公司法》规定,我国只允许采取平价发行与溢价发行。

股票发行价格的决定方式是多种多样的:

❶ 议价法。股票发行公司与承销机构直接议定承销价格和公开发行价格。

❷ 竞价法。承销商以投标方式与其他购买者竞争购买发行的股票,中标价即发行价格。

❸ 拟价法。可按以下公式拟定溢价发行股票的价格:

公司在确定发行价格时应综合考虑公司收益率、社会声誉、资本构成、发展前景、分红情况、发行费用、发行方式等。

4.股票发行市场的结构

股票发行市场是原始股票初次发行的场所。它有两个基本特征:股票发行市场没有具体形式的固定场所;股票发行市场的参加者所提供的主要服务是有关发行新股票要求的收益或找到可能的承销者。

股票发行市场由股份有限公司、投资者及作为两者媒介的证券公司组成。股份有限公司是发行市场的主体,其发行多少与规模大小决定了发行市场的工作范围和发行市场发达的程度。投资者队伍的大小和每个投资者购买能力的强弱,制约著发行市场规模。证券公司作为二者的中介,牵线搭桥,使发行工作获得成功。

(1)股票发行者:股份有限公司。发行者不仅要根据自身需要及市场承受能力,还要考虑行情好坏、利率及通货膨胀的趋势,选择最佳时机申请发行股票。

(2)股票购买者:投资者。它主要包括:社会公众、各类金融机构、各种非盈利性团体、外国投资机构及个人。当一个公司要吞并另一个公司时,它就会成为股票的购买者。

(3)股票发行的中介人;股票承销商。我国证券承销商是指经人民银行批准的证券公司、信托投资公司、综合性银行及其他经特批的金融机构。

5.股票的发行方式

股票发行方式,可以从不同角度划分:

(1)直接发行与委托发行。前者是由股份有限公司自己发行,只要求证券中介机构协助。后者是指股票委托给一家或几家发行中介机构代理发行,直接发行节省费用,但往往筹资时间长,还需有专职人员及较高信誉。委托发行可在短时间内完成筹资,而且比较方便、风险较小,但需支付一定手续费。

(2)公开发行与内部发行。前者指公司按照有关规定,办理发行审核程序,并将其财务状况公开的股票发行。后者指公司不办理发行审核程序,股票不公开销售,或其发行对象仅为少数特定人。公开发行有严格的发行审查,发行面广,发行质量信誉较高,大多数股票采取公开发行方式。

公开委托发行是指发行者委托股票发行中介机构代理发行,并向管理机构办理公开发行手续的股票发行。可以分为以下几种方式:

(1)代销。股份有限公司自行承担股票发行风险,只是将股票公开销售事务委托中介机构办理。中介机构只作为代理,尽可能销售股票,只收取手续费及有关费用,不承担风险。

(2)助销。发行公司与股票发行中介机构订定合同,保证当股票不能全部销售出去时,由中介机构负责发行未售出部分。中介机构承担了发行的部分风险。

(3)包销。中介机构先以自己名义买下全部待发行股票,再于适当时候将股票转售给大众,中介机构能够从买价与卖价的差额中获取利润。采取包销方式,发行公司可及时取得资金全部风险由中介机构承担。

6.股票的发行成本

股份有限公司财务管理中,股份资本的成本处于至关重要的地位。

(1)普通股成本

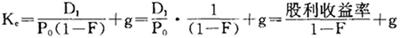
可以用以下公式来计算:

其中Ke是新发行股票成本率,D1是下一年度每股股利,P0是现行股票价格,F是发行成本的百分比,g是期望股利增长率。

这个公式是假设g不变。当g随时间而变化时,比如前3年是g,以后年份为g′,则:

这样计算K就比较复杂。

(2)优先股成本

大多数公司愿意利用优先股来筹集一部分资金。优先股成本计算公式如下:

其中Kp是优先股成本率,Dp是每年支付的优先股股利,Pn是公司实收股金。

7.股份有限公司增发股票的有关事项

股份有限公司为了投大经营而筹集资本或由于其他原因,可以增发股票。

公司发行新股,必须具备下列条件:

(1)前次发行股票已募足,且间隔一年以上;

(2)公司在最近三年内连续盈利,并且可以向股东支付股利;

(3)公司在最近三年内财务会计文件无虚假记载;

(4)公司预期利润可达银行同期存款利率。

符合以上条件的公司发行新股,按以下程序进行:

(1)股东大会作出发行新股的决议,决议内容包括:新股种类及数额,新股发行价格,新股发行起止日期,向原有股东发行新股的种类及数额;

(2)董事会须向国务院授权部门或省级人民政府申请批准。属于向社会公开募集的,须由国务院证券管理部门批准;

(3)公司必须公告新股招股说明书和财务会计报表及附属明细表,并制作认股书;

(4)公司应与依法设立的证券经营机构签订承销协议;

(5)在发行新股募足股款后,必须到登记机关办理变更登记,并作公告。

公司增发新股,按其目的可分为:

(1)为筹集资本而发行新股;

(2)为把公司债转化为股份而发行新股;

(3)把公积金转化为股本而发行新股;

(4)把盈利转化为资本而发行新股;

(5)把公司资产重估后的增值转化为资本。

8.B股的发行及有关程序

发行B股必须首先由主管机关审查批准之后,公开发行的B股必须委托特许证券经营机构办理。特许证券经营机构是经主管机关批准可以办理B股发行和代理转让业务的证券经营机构。非经主管机关特别批准,特许证券经营机构不得以包销方式承销B股,也不得自营买卖B股。

在承销B股的过程中,特许证券经营机构可以组织经主管机关认可的境外证券经营机构参与B股的承销。

发行B股的程序与发行A股不同,具体为:

(1)确定承销团中的主承销机构,其必须是境内证券经营机构。

(2)主承销机构向主管机关提交境外分销商草签代表的公司授权书和正式签约代表的公司授权书。

(3)B股发行者与主承销机构签订B股承销合同,让承销机构与境外分销商签订分销协议。

(4)参加承销团的境内外金融机构必须在承销期结束后5天内将承销所得外汇全部划入主承销机构在境内的外汇帐户。

(5)主承销机构必须于B股承销期结束后7天内,将发行B股所得外汇全部划入B股发行公司的外汇帐户。

(6)主承销机构必须于承销期结束后10内向证券主管机关提供承销报告。报告必须详细说明承销过程和最终结果,包括B股全部股东名单及其份额。

如果股份有限公司既发行A股也发行B股,则B股发行价不应低于同一公司A股发行价格。承销商在承销期内应按确定的同一价格发售。

随便看

 

离鸟网收录3541549条中英文词条,其功能与新华字典、现代汉语词典、牛津高阶英汉词典等各类中英文词典类似,基本涵盖了全部常用中英文字词句的读音、释义及用法,是语言学习和写作的有利工具。

 

Copyright © 2004-2024 vtrois.com All Rights Reserved
更新时间:2026/4/5 15:11:14