网站首页  词典首页


请输入您要查询的字词:

 

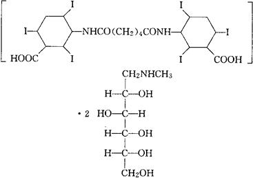
字词 胆影葡胺
类别 中英文字词句释义及详细解析
释义 胆影葡胺

C20H14I6N2O6·2C7H17NO5=1530.20

CAS-3521-84-4

2N-甲基葡胺-N,N′-己二酰-双-3-氨基-2,4,6-三碘苯甲酸盐。

2N-Methylglucamine-N,N′-adipoyl-bis-3-amino-2,4,6-triiodo benzoate.

1-去氧-1-(甲氨基)-D-山梨醇3,3′-(己二酰二亚氨基)双(2,4,6-三碘苯甲酸盐)(2∶1)。

1-Deoxy-1-(methylamino)-D-gluoitol3,3′-(adi-poyl diamino)bis(2,4,6-triiodo benzoate)(2∶1)(salt).

诊断用药。

用于胆道造影。

胆影酸甲葡胺,甲基葡胺,碘肥胺。

Meglumine Iodipamide,Adipiodin Meglumine,Biligrafin, Cholografin Meglumine, Iodipamide Meglumine.

胆影葡胺注射液。

BP,USAN,USP.

随便看

 

离鸟网收录3541549条中英文词条,其功能与新华字典、现代汉语词典、牛津高阶英汉词典等各类中英文词典类似,基本涵盖了全部常用中英文字词句的读音、释义及用法,是语言学习和写作的有利工具。

 

Copyright © 2004-2024 vtrois.com All Rights Reserved
更新时间:2026/4/7 21:17:02