网站首页  词典首页


请输入您要查询的字词:

 

字词 胆维丁[中]
类别 中英文字词句释义及详细解析
释义 胆维丁[中]

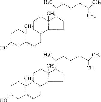
C27H44O·C27H46O=771.26

维生素D3(骨化醇)与胆固醇的等克分子(1∶1)的复合物。

Cholecalc1ferol complex with cholesterol(1∶1).

维生素类药。用以防治佝偻病和骨软化病。

Cholecacliferol Cholesterol.

胆维丁片。

随便看

 

离鸟网收录3541549条中英文词条,其功能与新华字典、现代汉语词典、牛津高阶英汉词典等各类中英文词典类似,基本涵盖了全部常用中英文字词句的读音、释义及用法,是语言学习和写作的有利工具。

 

Copyright © 2004-2024 vtrois.com All Rights Reserved
更新时间:2026/5/26 17:06:14